Python機器學習之PCA降維算法詳解

1.將原始數據按行組成m行n列的矩陣X
2.將X的每一列(代表一個屬性字段)進行零均值化,即減去這一列的均值
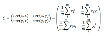
3.求出協方差矩陣
4.求出協方差矩陣的特征值及對應的特征向量r
5.將特征向量按對應特征值大小從左到右按列排列成矩陣,取前k列組成矩陣P
6.計算降維到k維的數據
三、相關概念 方差:描述一個數據的離散程度


優點
僅僅需要以方差衡量信息量,不受數據集以外的因素影響。 各主成分之間正交,可消除原始數據成分間的相互影響的因素。 計算方法簡單,主要運算是特征值分解,易于實現。缺點
主成分各個特征維度的含義具有一定的模糊性,不如原始樣本特征的解釋性強。 方差小的非主成分也可能含有對樣本差異的重要信息,降維丟棄的數據可能對后續數據處理有影響。五、算法實現自定義實現
import numpy as np# 對初始數據進行零均值化處理def zeroMean(dataMat): # 求列均值 meanVal = np.mean(dataMat, axis=0) # 求列差值 newData = dataMat - meanVal return newData, meanVal# 對初始數據進行降維處理def pca(dataMat, percent=0.19): newData, meanVal = zeroMean(dataMat) # 求協方差矩陣 covMat = np.cov(newData, rowvar=0) # 求特征值和特征向量 eigVals, eigVects = np.linalg.eig(np.mat(covMat)) # 抽取前n個特征向量 n = percentage2n(eigVals, percent) print('數據降低到:' + str(n) + ’維’) # 將特征值按從小到大排序 eigValIndice = np.argsort(eigVals) # 取最大的n個特征值的下標 n_eigValIndice = eigValIndice[-1:-(n + 1):-1] # 取最大的n個特征值的特征向量 n_eigVect = eigVects[:, n_eigValIndice] # 取得降低到n維的數據 lowDataMat = newData * n_eigVect reconMat = (lowDataMat * n_eigVect.T) + meanVal return reconMat, lowDataMat, n# 通過方差百分比確定抽取的特征向量的個數def percentage2n(eigVals, percentage): # 按降序排序 sortArray = np.sort(eigVals)[-1::-1] # 求和 arraySum = sum(sortArray) tempSum = 0 num = 0 for i in sortArray:tempSum += inum += 1if tempSum >= arraySum * percentage: return numif __name__ == ’__main__’: # 初始化原始數據(行代表樣本,列代表維度) data = np.random.randint(1, 20, size=(6, 8)) print(data) # 對數據降維處理 fin = pca(data, 0.9) mat = fin[1] print(mat)
利用Sklearn庫實現
import matplotlib.pyplot as pltfrom sklearn.decomposition import PCAfrom sklearn.datasets import load_iris# 加載數據data = load_iris()x = data.datay = data.target# 設置數據集要降低的維度pca = PCA(n_components=2)# 進行數據降維reduced_x = pca.fit_transform(x)red_x, red_y = [], []green_x, green_y = [], []blue_x, blue_y = [], []# 對數據集進行分類for i in range(len(reduced_x)): if y[i] == 0:red_x.append(reduced_x[i][0])red_y.append(reduced_x[i][1]) elif y[i] == 1:green_x.append(reduced_x[i][0])green_y.append(reduced_x[i][1]) else:blue_x.append(reduced_x[i][0])blue_y.append(reduced_x[i][1])plt.scatter(red_x, red_y, c=’r’, marker=’x’)plt.scatter(green_x, green_y, c=’g’, marker=’D’)plt.scatter(blue_x, blue_y, c=’b’, marker=’.’)plt.show()六、算法優化
PCA是一種線性特征提取算法,通過計算將一組特征按重要性從小到大重新排列得到一組互不相關的新特征,但該算法在構造子集的過程中采用等權重的方式,忽略了不同屬性對分類的貢獻是不同的。
KPCA算法KPCA是一種改進的PCA非線性降維算法,它利用核函數的思想,把樣本數據進行非線性變換,然后在變換空間進行PCA,這樣就實現了非線性PCA。
局部PCA算法局部PCA是一種改進的PCA局部降維算法,它在尋找主成分時加入一項具有局部光滑性的正則項,從而使主成分保留更多的局部性信息。
到此這篇關于Python機器學習之PCA降維算法詳解的文章就介紹到這了,更多相關Python PCA降維算法內容請搜索好吧啦網以前的文章或繼續瀏覽下面的相關文章希望大家以后多多支持好吧啦網!
相關文章:

網公網安備