詳細分析Java內存模型
對于 “我們為什么要學習并發編程?” 這個問題,就好比 “我們為什么要學習政治?” 一樣,我們(至少作為學生黨是這樣)平常很少接觸到,然后背了一堆 “正確且偉大無比的廢話”,最終淪為八股被快速遺忘。
直到我開始去深入了解這塊知識而不是盲目背誦的時候,我才明白,它正確且偉大無比,但不是廢話。
盡管并發編程的各種底層原理以及其龐大的知識體系容易讓人心生畏懼,但是 Java 語言和 Java 虛擬機都提供了相當多的并發工具,替我們隱藏了很多的線程并發細節,使得我們在編碼時能更關注業務邏輯,把并發編程的門檻降低了不少。
但是無論語言、中間件和框架再如何先進,我們都不應該完全依賴于它們完成并發處理的所有事情,了解并發的內幕并學習其中的思想,仍然是成為一個高級程序員的必經之路。
我想,上面這段話大概可以回答 “我們為什么要學習并發編程?” 這個問題了。
二、為什么需要并發編程不知道各位有沒有聽說過被譽為計算機第一定律的摩爾定律,它是英特爾創始人之一戈登 · 摩爾長期觀察總結出來的經驗,雖然不是嚴格推導出來的真理,但最起碼迄今為止仍然是令人深信不疑的。其核心內容通俗來說就是 處理器的性能每隔兩年就會翻一倍??雌饋硐駛€廢話。
而事實上,當今多核 CPU 的發展速度也確實正在支撐著摩爾定律的有效性。在時代的大背景下,并發編程已成燎原之勢,通過并發編程的形式將多核 CPU 的計算能力發揮到極致,性能得到提升。
舉個例子,在當今諸神黃昏的圖像處理領域,很多圖像處理算法,在代碼初步編寫完畢并調試正確后,其實仍然需要進行一個漫長的優化過程。因為盡管有些算法的處理效果很棒,但是如果運算太過耗時,還是無法集成進產品給用戶使用的。
對于一副 1000 x 800 分辨率的圖像,我們最原始的處理思路就是從第 1 個像素開始,一直遍歷計算到最后一個像素。那么面對如此龐大且復雜的計算量,為了提高算法的性能,最直接也最容易實現的想法就是基于多線程充分利用多核 CPU 的計算能力。
可以將整個圖像分成若干塊,比如我們的 CPU 是 8 核的,那么可以分成 8 塊,每塊圖像大小為 1000 * 100 像素,我們可以創建 8 個線程,每個線程處理一個圖像塊,每個 CPU 分配執行一個線程。這樣,運算速度將得到明顯的提升。
當然了,這樣操作后,運算速度并不會恐怖的提升 4 倍,因為線程創建和釋放以及上下文切換都有一定的損耗。
這里摘錄《Java 并發編程的藝術》書中的一段話來回答這個問題,我們為什么需要并發線程?
多核 CPU 時代的到來打破了單核 CPU 對多線程效能的限制。多個 CPU 意味著每個線程可以使用自己的 CPU 運行,這減少了線程上下文切換的開銷,但隨著對應用系統性能和吞吐量要求的提高,出現了處理海量數據和請求的要求,這些都對高并發編程有著迫切的需求。
而至于多核 CPU 盛行的原因,《深入理解 Java 虛擬機 - 第 3 版》一書中也有所涉及,這里我略作修改摘錄如下:
多任務處理在現代計算機操作系統中幾乎已是一項必備的功能了。在許多場景下,讓計算機同時去做幾件事情,不僅是因為計算機的運算能力強大了,更重要的原因是計算機的運算速度與它的存儲和通信子系統速度的差距太大,這樣 CPU 不得不花費大量的時間等待其他資源,比如磁盤 I/O、網絡通信或者數據庫訪問等。
為此,我們就必須使用一些手段去把處理器的運算能力“壓榨”出來,否則就會造成很大的性能浪費,而讓計算機同時處理幾項任務則是最容易想到,也被證明是非常有效的“壓榨”手段。
另外,除了充分利用計算機處理器的能力外,一個服務端要同時對多個客戶端提供服務,則是另一個更具體的并發應用場景。
三、從物理機中得到啟發事實上,物理機遇到的并發問題與虛擬機中的情況有很多相似之處,物理機對并發的處理方案對虛擬機的實現也有相當大的參考意義,因此,我們有必要學習下物理機中處理問題的方法。
上文說過可以使用并發編程來充分利用 CPU 的資源,其中一個主要原因就是計算機的存儲設備與 CPU 的運算速度有著幾個數量級的差距,這樣 CPU 不得不花費大量的時間去等待其他資源。
這是軟件層面,而在硬件層面上,現代計算機系統都會在內存與 CPU 之間加入一層或多層讀寫速度盡可能接近 CPU 運算速度的高速緩存來作為緩沖。
將運算需要使用的數據復制到緩存中,讓運算能快速進行,當運算結束后再從緩存同步回內存之中,這樣處理器就無須等待緩慢的內存讀寫了。
為此,這不可避免的帶來了一個新的問題:緩存一致性(Cache Coherence)。
就是說當多個 CPU 的運算任務都涉及同一塊主內存區域時,將可能導致各自的緩存數據不一致。如果真的發生這種情況,那同步回到主內存時該以誰的緩存數據為準呢?
為了解決一致性的問題,需要各個 CPU 訪問緩存時都遵循一些協議,在讀寫時要根據協議來進行操作。于是,我們引出了內存模型的概念。

在物理機層面,內存模型可以理解為在特定的操作協議下,對特定的內存或高速緩存進行讀寫訪問的過程抽象。
顯然,不同架構的物理機器可以擁有不一樣的內存模型,而 Java 虛擬機也擁有自己的內存模型,稱為 Java 內存模型(Java Memory Model,JMM),其目的就是為了屏蔽各種硬件和操作系統的內存訪問差異,以實現讓 Java 程序在各種平臺下都能達到一致的內存訪問效果。
當然了,JMM 與這里我們介紹的物理機的內存模型具有高度的可類比性。
四、Java 內存模型JMM 規定了所有的變量都存儲在主內存(Main Memory)中,每條線程還有自己的工作內存(Working Memory)。
線程的工作內存中保存了被該線程使用的變量的主內存副本,線程對變量的所有操作(讀取、賦值等)都必須在工作內存中進行,而不能直接讀寫主內存中的數據。

此處的主內存可以與前面所說的物理機的主內存類比,當然,實際上它僅是虛擬機內存的一部分,工作內存可與前面講的高速緩存類比。
《Java 并發編程的藝術》中把 “工作內存” 稱為 “本地內存”(Local Memory)。 “工作內存” 是《深入理解 Java 虛擬機 - 第 3 版》這本書中的寫法。
多提一嘴,這里的變量其實和我們日常編程中所說的變量不一樣,它包括了實例字段、靜態字段和構成數組對象的元素,但是不包括局部變量與方法參數,因為后面這倆是線程私有的,不會被共享,自然就不會存在競爭問題。各位知道就好,不必太過深究。
五、原子性5.1、什么是原子性類比物理機,擁有緩存一致性協議來規定主內存和高速緩存之間的操作邏輯,那么 JMM 中主內存與工作內存之間有沒有具體的交互協議呢?
Of Course!JMM 中定義了以下 8 種操作規范來完成一個變量從主內存拷貝到工作內存、以及從工作內存同步回主內存這一類的實現細節。Java 虛擬機實現時必須保證下面提及的每一種操作都是原子的、不可再分的。
暫時放下到底是哪 8 種操作,我們先談何為原子?
原子(atomic)本意是 “不能被進一步分割的最小粒子”,而原子操作(atomic operation)意為 “不可被中斷的一個或一系列操作”。
舉個經典的簡單例子,銀行轉賬,A 像 B 轉賬 100 元。轉賬這個操作其實包含兩個離散的步驟:
步驟 1:A 賬戶減去 100 步驟 2:B 賬戶增加 100我們要求轉賬這個操作是原子性的,也就是說步驟 1 和步驟 2 是順續執行且不可被打斷的,要么全部執行成功、要么執行失敗。
試想一下,如果轉賬操作不具備原子性會導致什么問題呢?
比如說步驟 1 執行成功了,但是步驟 2 沒有執行或者執行失敗,就會導致 A 賬戶少了 100 但是 B 賬戶并沒有相應的多出 100。
對于上述這種情況,符合原子性的轉賬操作應該是如果步驟 2 執行失敗,那么整個轉賬操作就會失敗,步驟 1 就會回滾,并不會將 A 賬戶減少 100。
OK,了解了原子性的概念后,我們再來看 JMM 定義的 8 種原子操作具體是啥,以下了解即可,沒必要死記:
lock(鎖定):作用于主內存的變量,它把一個變量標識為一條線程獨占的狀態。 unlock(解鎖):作用于主內存的變量,它把一個處于鎖定狀態的變量釋放出來,釋放后的變量才可以被其他線程鎖定。 read(讀取):作用于主內存的變量,它把一個變量的值從主內存傳輸到線程的工作內存中,以便隨后的load動作使用。 load(載入):作用于工作內存的變量,它把read操作從主內存中得到的變量值放入工作內存的變量副本中。 use(使用):作用于工作內存的變量,它把工作內存中一個變量的值傳遞給執行引擎,每當虛擬機遇到一個需要使用變量的值的字節碼指令時將會執行這個操作。 assign(賦值):作用于工作內存的變量,它把一個從執行引擎接收的值賦給工作內存的變量,每當虛擬機遇到一個給變量賦值的字節碼指令時執行這個操作。 store(存儲):作用于工作內存的變量,它把工作內存中一個變量的值傳送到主內存中,以便隨后的write操作使用。 write(寫入):作用于主內存的變量,它把store操作從工作內存中得到的變量的值放入主內存的變量事實上,對于 double 和 long 類型的變量來說,load、store、read 和 write 操作在某些平臺上允許有例外,稱為 “long 和 double 的非原子性協定”,不過一般不需要我們特別注意,這里就不再過多贅述了。
這 8 種操作當然不是可以隨便用的,為了保證 Java 程序中的內存訪問操作在并發下仍然是線程安全的,JMM 規定了在執行上述 8 種基本操作時必須滿足的一系列規則。
這我就不一一列舉了,多提這么一嘴的原因就是下文會涉及一些這其中的規則,為了防止大家看的時候云里霧里,所以先前說明白比較好。
上面我們舉了一個轉賬的例子,那么,在具體的代碼中,非原子性操作可能會導致什么問題呢?
看下面這段代碼,各位不妨考慮一個的問題,如果兩個線程對初始值為 0 的靜態變量一個做自增,一個做自減,各做 5000 次,結果一定是 0 嗎?

耳熟能詳的問題,我們無法保證這段代碼執行結果的一定性(正確性),可能是正數、也可能是負數、當然也可能是 0。
那么,我們就把這段代碼稱為線程不安全的,就是說在單線程環境下正常運行的一段代碼,在多線程環境中可能發生各種意外情況,導致無法得到正確的結果。
從線程安全的角度來反向理解線程不安全的概念可能更容易點,這里參考《Java 并發編程實踐》上面的一句話:
一段代碼在被多個線程訪問后,它仍然能夠進行正確的行為,那這段代碼就是線程安全的。
至于這段代碼線程不安全的原因,就是 Java 中對靜態變量自增和自減操作并不是原子操作,它倆其實都包含三個離散的操作:
步驟 1:讀取當前 i 的值 步驟 2:將 i 的值加 1(減 1) 步驟 3:寫回新值可以看出來這是一個 讀 - 改 - 寫 的操作。
以 i ++ 操作為例,我們來看看它對應的字節碼指令:

上方這段代碼對應的字節碼是這樣的:

簡單解釋下這些字節碼指令的含義:
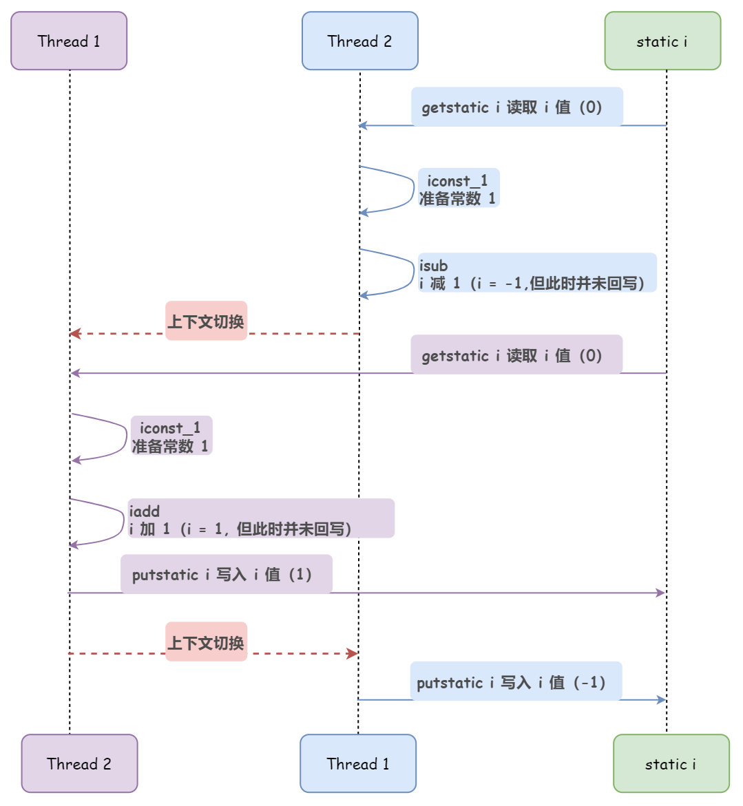
getstatic i:獲取靜態變量 i 的值 iconst_1:準備常量 1 iadd:自增(自減操作對應 isub) putstatic i:將修改后的值存入靜態變量 i如果是在單線程的環境下,先自增 5000 次,然后再自減 5000 次,那當然不會發生任何問題。

但是在多線程的環境下,由于 CPU 時間片調度的原因,可能 Thread1 正在執行自增操作著呢,CPU 剝奪了它的資源占用,轉而分配給了 Thread2,也就是發生了線程上下文切換。這樣,就可能導致本該是一個連續的讀改寫動作(連續執行的三個步驟)被打斷了。
下圖出現的就是結果最終是負數的情況:

總結來說,如果多個 CPU 同時對某個共享變量進行讀-改-寫操作,那么這個共享變量就會被多個 CPU 同時處理,由于 CPU 時間片調度等原因,某個線程的讀-改-寫操作可能會被其他線程打斷,導致操作完后共享變量的值和我們期望的不一致。
另外,多說一嘴,除了自增自減,我們常見的 i = j 這個操作也是非原子性的,它分為兩個離散的步驟:
步驟 1:讀取 j 的值 步驟 2:將 j 的值賦給 i5.2、如何保證原子性那么,如何實現原子操作,也就是如何保證原子性呢?
對于這個問題,其實在處理器和 Java 編程語言層面,它們都提供了一些有效的措施,比如處理器提供了總線鎖和緩存鎖,Java 提供了鎖和循環 CAS 的方式,這里我們簡單解釋下 Java 保證原子性的措施。
由 Java 內存模型來直接保證的原子性變量操作包括 read、load、assign、use、store 和 write 這 6 個,我們大致可以認為,基本數據類型的訪問、讀寫都是具備原子性的(例外就是 long 和 double 的非原子性協定,各位只要知道這件事情就可以了,無須太過在意這些幾乎不會發生的例外情況)。
如果應用場景需要一個更大范圍的原子性保證,Java 內存模型還提供了 lock 和 unlock 操作來滿足這種需求。
盡管 JVM 并沒有把 lock 和 unlock 操作直接開放給用戶使用,但是卻提供了更高層次的字節碼指令 monitorenter 和 monitorexit 來隱式地使用這兩個操作。這兩個字節碼指令反映到 Java 代碼中就是同步塊 — synchronized 關鍵字,因此在 synchronized 塊之間的操作也具備原子性。
而除了 synchronized 關鍵字這種 Java 語言層面的鎖,juc 并發包中的 java.util.concurrent.locks.Lock 接口也提供了一些類庫層面的鎖,比如 ReentrantLock。
另外,隨著硬件指令集的發展,在 JDK 5 之后,Java 類庫中開始使用基于 cmpxchg 指令的 CAS 操作(又來一個重點),該操作由 sun.misc.Unsafe 類里面的 compareAndSwapInt() 和 compareAndSwapLong() 等幾個方法包裝提供。不過在 JDK 9 之前 Unsafe 類是不開放給用戶使用的,只有 Java 類庫可以使用,譬如 juc 包里面的整數原子類,其中的 compareAndSet() 和 getAndIncrement() 等方法都使用了 Unsafe 類的 CAS 操作來實現。
使用這種 CAS 措施的代碼也常被稱為無鎖編程(Lock-Free)。
六、可見性6.1、什么是可見性回到物理機,前文說過,由于引入了高速緩存,不可避免的帶來了一個新的問題:緩存一致性。而同樣的,這個問題在 Java 虛擬機中同樣存在,表現為工作內存與主內存的同步延遲,也就是內存可見性問題。
何為可見性?就是指當一個線程修改了共享變量的值時,其他線程能夠立即得知這個修改。
回顧下 Java 內存模型:

從上圖來看,如果線程 A 與線程 B 之間要通信的話,必須要經歷下面 2 個步驟:
1)線程 A 把工作內存 A 中更新過的共享變量刷新到主內存中去 2)線程 B 到主內存中去讀取線程 A 之前已更新過的共享變量也就是說,線程 A 在向線程 B 的通信過程必須要經過主內存。
那么,這就可能出現一個問題,舉個簡單的例子,看下面這段代碼:
// 線程 1 執行的代碼int i = 0;i = 1;// 線程 2 執行的代碼j = i;
當線程 1 執行 i = 1 這句時,會先去主內存中讀取 i 的初始值,然后加載到線程 1 的的工作內存中,再賦值為1,至此,線程 1 的工作內存當中 i 的值變為 1 了,不過還沒有寫入到主內存當中。
如果在線程 1 準備把新的 i 值寫回主內存的時候,線程 2 執行了 j = i 這條語句,它會去主存讀取 i 的值并加載到線程 2 的工作內存當中,而此時主內存當中 i 的值還是 0,那么就會使得 j 的值為 0,而不是 1。
這就是內存可見性問題,線程 1 修改了共享變量 i 的值,線程 2 并沒有立即得知這個修改。
6.2、如何保證可見性各位可能脫口而出使用 volatile 關鍵字修飾共享變量,但除了這個,容易被大家忽略的是,其實 sunchronized 和 final 這倆關鍵字也能保證可見性。
上面我提過一嘴,為了保證 Java 程序中的內存訪問操作在并發下仍然是線程安全的,JMM 規定了在執行 8 種基本原子操作時必須滿足的一系列規則,這其中有一條規則正是 sychronized 能夠保證原子性的理論支撐,如下:
對一個變量執行 unlock 操作之前,必須先把此變量同步回主內存中(執行 store、write 操作)也就是說 synchronized在修改了工作內存中的變量后,解鎖前會將工作內存修改的內容刷新到主內存中,確保了共享變量的值是最新的,也就保證了可見性。
至于 final 關鍵字的可見性需要結合其內存語義深入來講,這里就先簡單的概括下:被 final 修飾的字段在構造器中一旦被初始化完成,并且構造器沒有把 this 的引用傳遞出去,那么在其他線程中就能看見 final 字段的值。
七、有序性7.1、什么是有序性OK,說完了可見性,我們再回到物理機,其實除了增加高速緩存之外,為了使 CPU 內部的運算單元能盡量被充分利用,CPU 可能會對輸入代碼進行亂序執行優化,CPU 會在計算之后將亂序執行的結果重組,保證該結果與順序執行的結果是一致的,但并不保證程序中各個語句計算的先后順序與輸入代碼中的順序一致,因此如果存在一個計算任務依賴另外一個計算任務的中間結果,那么其順序性并不能靠代碼的先后順序來保證。
與之類似的,Java 的編譯器也有這樣的一種優化手段:指令重排序(Instruction Reorder)。
那么,既然能夠優化性能,重排序可以沒有限制的被使用嗎?
當然不,在重排序的時候,CPU 和編譯器都需要遵守一個規矩,這個規矩就是 as-if-serial 語義:不管怎么重排序,單線程環境下程序的執行結果不能被改變。
為了遵守 as-if-serial 語義,CPU 和編譯器不會對存在數據依賴關系的操作做重排序,因為這種重排序會改變執行結果。
那么這里,我們又引出了 “數據依賴性” 的概念。
如果兩個操作訪問同一個變量,且這兩個操作中有一個為寫操作,此時這兩個操作之間就存在數據依賴性。
數據依賴性分為三種類型:寫后讀、寫后寫、讀后寫,看下圖

上面 3 種情況,只要重排序兩個操作的執行順序,程序的執行結果就會被改變。
其實考慮數據依賴關系的時候,各位可以通過畫圖來直觀的判斷。舉個例子:
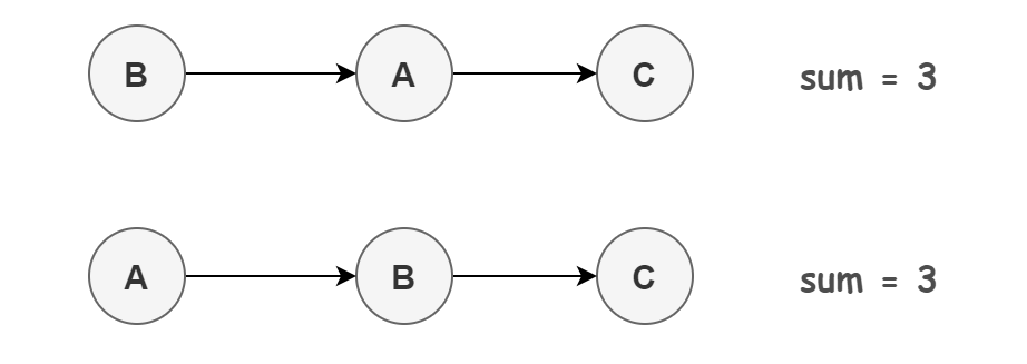
int a = 1; // Aint b = 2; // Bint sum = a + b; // C
上面 3 個操作的數據依賴關系如下圖所示:

可以看出,A 和 C、B 和 C 之間存在數據依賴關系,因此在最終執行的指令序列中,C 不能被重排序到 A 或B 的前面。但 A 和 B 之間沒有數據依賴關系,所以 CPU 和處理器可以重排序 A 和 B 之間的執行順序。如下是程序的兩種執行順序:

看起來好像沒啥問題,重排序之后程序的結果并沒有發生改變,還提升了性能。
然而,很不幸的是,我們這里所說的數據依賴性僅針對單個 CPU 中執行的指令序列和單個線程中執行的操作,不同 CPU 之間和不同線程之間的數據依賴性是不被 CPU 和編譯器考慮的。
這就是為啥我在寫 as-if-serial 語義的時候把 “單線程” 加粗的目的了。
看下面這段代碼:

假設有兩個線程 A 和 B,A 首先執行 writer() 方法,隨后 B 線程接著執行 reader() 方法。線程 B 在執行操作 4 時,能否看到線程 A 在操作 1 把共享變量 a 修改成了 1 呢?
答案是不一定。
由于操作 1 和操作 2 沒有數據依賴關系,CPU 和編譯器可以對這兩個操作重排序;同樣的,操作 3 和操作 4 沒有數據依賴關系,編譯器和處理器也可以對這兩個操作重排序。
以操作 1 和操作 2 重排序為例,可能會產生什么效果呢?

如上圖右邊所示,程序執行時,線程 A 首先寫標記變量 flag,隨后線程 B 讀這個變量。由于條件判斷為真,線程 B 將讀取變量 a。此時,變量 a 還沒有被線程 A 寫入,因此線程 B 讀到的 a 值仍然是 0。也就是說在這里多線程程序的語義被重排序破壞了。
這樣,我們可以得出結論:CPU 和 Java 編譯器為了優化程序性能,會自發地對指令序列進行重新排序。在多線程的環境下,由于重排序的存在,就可能導致程序運行結果出現錯誤。
了解了重排序的概念,我們可以這樣總結下 Java 程序天然的有序性:
如果在本線程內觀察,所有的操作都是有序的(簡單來說就是線程內表現為串行) 如果在一個線程中觀察另一個線程,所有的操作都是無序的(這個無序主要就是指 “指令重排序” 現象和 “工作內存與主內存同步延遲” 現象)7.2、如何保證有序性Java 語言提供了 volatile 和 synchronized 兩個關鍵字來保證線程之間操作的有序性。
volatile 本身除了保證可見性的語義外,還包含了禁止指令重排序的語義,所以天生就具有保證有序性的功能。
而 synchronized 保證有序性的理論支撐,仍然是 JMM 規定在執行 8 種基本原子操作時必須滿足的一系列規則中的某一個提供的:
一個變量在同一個時刻只允許一條線程對其進行 lock 操作這個規則決定了持有同一個鎖的兩個 synchronized 同步塊只能串行地進入。
不是很難理解吧,通俗來說,synchronized 通過排他鎖的方式保證了同一時間內,被 synchronized 修飾的代碼是單線程執行的。所以,這就滿足了 as-if-serial 語義的一個關鍵前提,那就是單線程,這樣,有了 as-if-serial 語義的保證,單線程的有序性也就得到保障了。
Happens-before 原則:
Happens-before 是 JMM 的靈魂,它是判斷數據是否存在競爭,線程是否安全的非常有用的手段。為了知識體系的完整性,這里簡單提一下,后續文章會詳細解釋的。
如果 Java 內存模型中所有的有序性都僅靠 volatile 和 synchronized 來完成,那么有很多操作都將會變得非常??攏??俏頤竊詒嘈 Java 并發代碼的時候并沒有察覺到這一點,這就歸功于 “先行發生”(Happens-Before)原則。
依賴這個原則,我們可以通過幾條簡單規則快速解決并發環境下兩個操作之間是否可能存在沖突的所有問題,而不需要陷入 Java 內存模型苦澀難懂的定義之中。
以上就是詳細分析Java內存模型的詳細內容,更多關于Java內存模型的資料請關注好吧啦網其它相關文章!
相關文章:

網公網安備