Python OpenCV實現邊緣檢測
本文實例為大家分享了Python OpenCV實現邊緣檢測的具體代碼,供大家參考,具體內容如下
1. Sobel 算子檢測Sobel 算子是高斯平滑和微分運算的組合,抗噪能力很強,用途也很多,尤其是效率要求高但對細紋理不是很在意的時候。
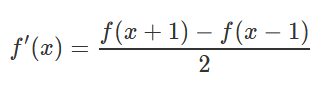
對于不連續的函數,有:

假設要處理的圖像為I,在兩個方向求導。
水平變化:用奇數大小的模板對圖像I卷積,結果為Gx。例如,當模板大小為3時,Gx為:

垂直變化:用奇數大小的模板對圖像I卷積,結果為Gy。例如,當模板大小為3時,Gy為:

在圖像的每個點,結合以上兩個結果,得到:

極大值的位置是圖像的邊緣。
當核大小為3時,上述Sobel核可能會產生更明顯的誤差。 為了解決這個問題,可以使用 Scharr 函數。這個函數只對大小為 3 的核有效,運算速度和 Sobel 函數一樣快,但是結果更準確。 計算方法為:

cv.Sobel(src, ddepth, dx, dy, dst, ksize, scale, delta, borderType)參數:src 傳入的圖像ddepth 圖像的深度dx、dy 指求導的階數,0表示這個方向上沒有求導,取值為0、1。ksize Sobel算子的大小,即卷積核的大小,必須為奇數1、3、5、7,默認為3。-1代表3x3的Scharr算子。scale 縮放導數的比例常數,默認情況為沒有伸縮系數。borderType 圖像邊界的模式,默認值為cv.BORDER_DEFAULT。
需要對x和y兩個方向都調用一次cv.Sobel()函數。然后,對每個方向調用cv.convertScaleAbs()函數將其轉回uint8格式,再調用cv2.addWeighted()函數將兩個方向組合起來。
2. Laplacian 算子檢測
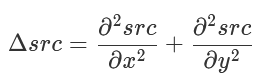
Laplacian 使用二階導數來檢測邊緣。 因為圖像是二維的,所以我們需要從兩個方向求導:

不連續函數的二階導數是:

使用的卷積核是:

cv.Laplacian(src, ddepth, ksize)參數:src 需要處理的圖像ddepth 圖像的深度,-1表示采用的是原圖像相同的深度,目標圖像的深度必須大于等于原圖像的深度ksize 算子的大小,即卷積核的大小,必須為1、3、5、7。
然后,對返回值調用cv.convertScaleAbs(res)即可獲得邊緣圖像。
3. Canny 邊緣檢測Canny 邊緣檢測算法由4個步驟組成。
1)去噪。由于邊緣檢測容易受噪聲影響,首先使用5*5高斯濾波器去除噪聲。
2)計算圖像梯度。在平滑圖像上使用 Sobel 算子計算水平和垂直方向的一階導數(Gx 和 Gy)。 根據得到的兩個梯度圖(Gx和Gy)求出邊界的梯度和方向,公式如下:

如果一個像素是一個邊緣,它的梯度方向總是垂直于邊緣。 梯度方向分為四類:垂直方向、水平方向和兩個對角線方向。
3)非極大值抑制。得到梯度的方向和大小后,掃描整個圖像去除那些非邊界點。 檢查每個像素點,看這個點的梯度是否在周圍具有相同梯度方向的點中最大。

A點位于圖像的邊緣。在其梯度變化的方向,選擇像素B和C,檢查A點的梯度是否為極大值。 如果是極大值,則保留,否則A點將被抑制,最后得到的結果是邊緣細的二值圖像。
4)滯后閾值?,F在來確定真正的邊界。我們設置了兩個閾值:minVal 和 maxVal。 當圖像的灰度梯度高于 maxVal 時,認為是真正的邊界,低于minVal 的邊界將被丟棄。 如果介于兩者之間,則取決于該點是否連接到確定為真的邊界點。 如果是,則認為是邊界點,如果不是,則將其丟棄。 minVal 較小的閾值將間斷的邊緣連接起來,maxVal 較大的閾值檢測圖像中明顯的邊緣。如下圖:

A 高于閾值 maxVal,因此它是真正的邊界點。雖然 C 低于 maxVal 但高于 minVal 并與 A 相連,所以它也被視為真正的邊界點。 B 會被丟棄,因為它低于 maxVal ,并且沒有連接到真正的邊界點。 所以,選擇合適的 maxVal 和 minVal 對于獲得好的結果非常重要。
cv.Canny(image, threshold1, threshold2)參數:image 灰度圖threshold1 minval,較小的閾值threshold2 maxval,較大的閾值
例:使用Sobel、Laplacian、Canny算法檢測下面圖像的邊緣。

import matplotlibimport cv2 as cvimport matplotlib.pyplot as plt font = { 'family': 'Microsoft YaHei'}matplotlib.rc('font', **font) img = cv.imread('./image/horse.jpg', 0) # Sobelx = cv.Sobel(img, cv.CV_16S, 1, 0)y = cv.Sobel(img, cv.CV_16S, 0, 1)absx = cv.convertScaleAbs(x)absy = cv.convertScaleAbs(y)res = cv.addWeighted(absx, 0.5, absy, 0.5, 0)plt.imshow(res, cmap=plt.cm.gray)plt.title('Sobel')plt.show() # Schaarx = cv.Sobel(img, cv.CV_16S, 1, 0, ksize=-1)y = cv.Sobel(img, cv.CV_16S, 0, 1, ksize=-1)absx = cv.convertScaleAbs(x)absy = cv.convertScaleAbs(y)res = cv.addWeighted(absx, 0.5, absy, 0.5, 0)plt.imshow(res, cmap=plt.cm.gray)plt.title('Schaar')plt.show() # Laplacianres = cv.Laplacian(img, cv.CV_16S)res = cv.convertScaleAbs(res)plt.imshow(res, cmap=plt.cm.gray)plt.title('Laplacian')plt.show() # Cannyres = cv.Canny(img, 0, 100)plt.imshow(res, cmap=plt.cm.gray)plt.title('Canny')plt.show()
輸出:




以上就是本文的全部內容,希望對大家的學習有所幫助,也希望大家多多支持好吧啦網。
相關文章:

網公網安備