Python統計學一數據的概括性度量詳解
一、數據的概括性度量
1、統計學概括:
統計學是應用數學的一個分支,主要通過利用概率論建立數學模型,收集所觀察系統的數據,進行量化的分析、總結,并進而進行推斷和預測,為相關決策提供依據和參考。統計學主要又分為描述統計學和推斷統計學。給定一組數據,統計學可以摘要并且描述這份數據,這個用法稱作為描述統計學。另外,觀察者以數據的形態建立出一個用以解釋其隨機性和不確定性的數學模型,以之來推論研究中的步驟及母體,這種用法被稱做推論統計學。
2、數據的概括性度量:
1)集中趨勢的度量:
眾數:眾數(Mode),是一組數據中出現次數最多的數值,叫眾數,有時眾數在一組數中有好幾個。用M表示。
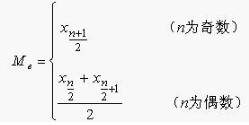
中位數:中位數(Median)是指將數據按大小順序排列起來,形成一個數列,居于數列中間位置的那個數據。中位數用Me表示。計算公式:

四分位數:四分位數(Quartile)把所有數值由小到大排列并分成四等份,處于三個分割點位置的數值就是四分位數。QL=下四分位數,即第25百分位數( n / 4);QU=上四分位數,即第75百分位數( 3n / 4)。
平均數:算術平均數(arithmetic mean)算術平均數是指資料中各觀測值的總和除以觀測值個數所得的商,簡稱平均數或均數。
2)離散趨勢的度量:
四分位差:四分位差(quartile deviation),也稱為內距或四分間距(inter-quartile range),它是上四分位數(QU,即位于75%)與下四分位數(QL,即位于25%)的差。
極差:全距(Range),又稱極差,是用來表示統計資料中的變異量數(measures of variation),其最大值與最小值之間的差距
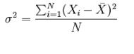
方差:方差(variance)(樣本方差)是各個數據分別與其平均數之差的平方的和的平均數,通常以σ2表示,方差的計算公式為:

標準差:標準差 (Standard Deviation),也稱均方差(Mean square error),
。
離散系數:離散系數又稱變異系數,CV(Coefficient of Variance)表示。CV(Coefficient of Variance):標準差與均值的比值。離散系數越小,數據的離散程度就越小,反之,亦然。
3)偏度與峰度的度量:
偏態系數:偏度(Skewness)亦稱偏態、偏態系數,偏度是統計數據分布偏斜方向和程度的度量,是統計數據分布非對稱程度的數字特征。Sk>0時,分布呈正偏態(右偏),Sk<0時,分布呈負偏態(左偏)。
峰態系數:(Kurtosis)峰度系數是用來反映頻數分布曲線頂端尖峭或扁平程度的指標。在正態分布情況下,峰度系數值是3。>3的峰度系數說明觀察量更集中,有比正態分布更短的尾部;<3的峰度系數說明觀測量不那么集中,有比正態分布更長的尾部,類似于矩形的均勻分布。峰度系數的標準誤用來判斷分布的正態性。峰度系數與其標準誤的比值用來檢驗正態性。如果該比值絕對值大于2,將拒絕正態性。
3、Python代碼實現:
<span style='font-family:Microsoft YaHei;font-size:12px;'>#以下代碼基于Python3.5環境編寫import numpy as npimport stats as stsscores = [31, 24, 23, 25, 14, 25, 13, 12, 14, 23, 32, 34, 43, 41, 21, 23, 26, 26, 34, 42, 43, 25, 24, 23, 24, 44, 23, 14, 52,32, 42, 44, 35, 28, 17, 21, 32, 42, 12, 34]#集中趨勢的度量print(’求和:’,np.sum(scores))print(’個數:’,len(scores))print(’平均值:’,np.mean(scores))print(’中位數:’,np.median(scores))print(’眾數:’,sts.mode(scores))print(’上四分位數’,sts.quantile(scores,p=0.25))print(’下四分位數’,sts.quantile(scores,p=0.75))#離散趨勢的度量print(’最大值:’,np.max(scores))print(’最小值:’,np.min(scores))print(’極差:’,np.max(scores)-np.min(scores))print(’四分位差’,sts.quantile(scores,p=0.75)-sts.quantile(scores,p=0.25))print(’標準差:’,np.std(scores))print(’方差:’,np.var(scores))print(’離散系數:’,np.std(scores)/np.mean(scores))#偏度與峰度的度量print(’偏度:’,sts.skewness(scores))print(’峰度:’,sts.kurtosis(scores))</span>
以上這篇Python統計學一數據的概括性度量詳解就是小編分享給大家的全部內容了,希望能給大家一個參考,也希望大家多多支持好吧啦網。
相關文章:

網公網安備