使用python畫出邏輯斯蒂映射(logistic map)中的分叉圖案例
邏輯斯蒂映射在混沌數學中是一個很經典的例子,它可以說明混沌可以從很簡單的非線性方程中產生。
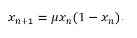
邏輯斯蒂映射公式如下:

x_n表示當前人口與最大人口數量的比值,mu為參數,相當于人口增長速率。
分叉圖描繪的是不同mu情況下,x收斂的值的分布圖。
參考地址
python代碼如下:
from tqdm import tqdmimport matplotlib.pyplot as pltimport numpy as npdef LogisticMap(): mu = np.arange(2, 4, 0.0001) x = 0.2 # 初值 iters = 1000 # 不進行輸出的迭代次數 last = 100 # 最后畫出結果的迭代次數 for i in tqdm(range(iters+last)): x = mu * x * (1 - x) if i >= iters: plt.plot(mu, x, ’,k’, alpha=0.25) # alpha設置透明度 plt.show()LogisticMap()
結果圖:

補充知識:用Python畫Logistic函數圖像
我就廢話不多說了,大家還是直接看代碼吧~
import matplotlib.pyplot as pltimport numpy as npx = np.arange(0,1,0.01)y = ln(x/(1-x))plt.plot(y,x)
以上這篇使用python畫出邏輯斯蒂映射(logistic map)中的分叉圖案例就是小編分享給大家的全部內容了,希望能給大家一個參考,也希望大家多多支持好吧啦網。
相關文章:

網公網安備